Concrete Math Worksheet

  • posts
  • Prof. Aubree Gaylord V

Year 1 – solve one-step problems that involve addition and subtraction Maths matr secondary Pictorial concrete cpa maths abstract dienes approach addition column stage example adding

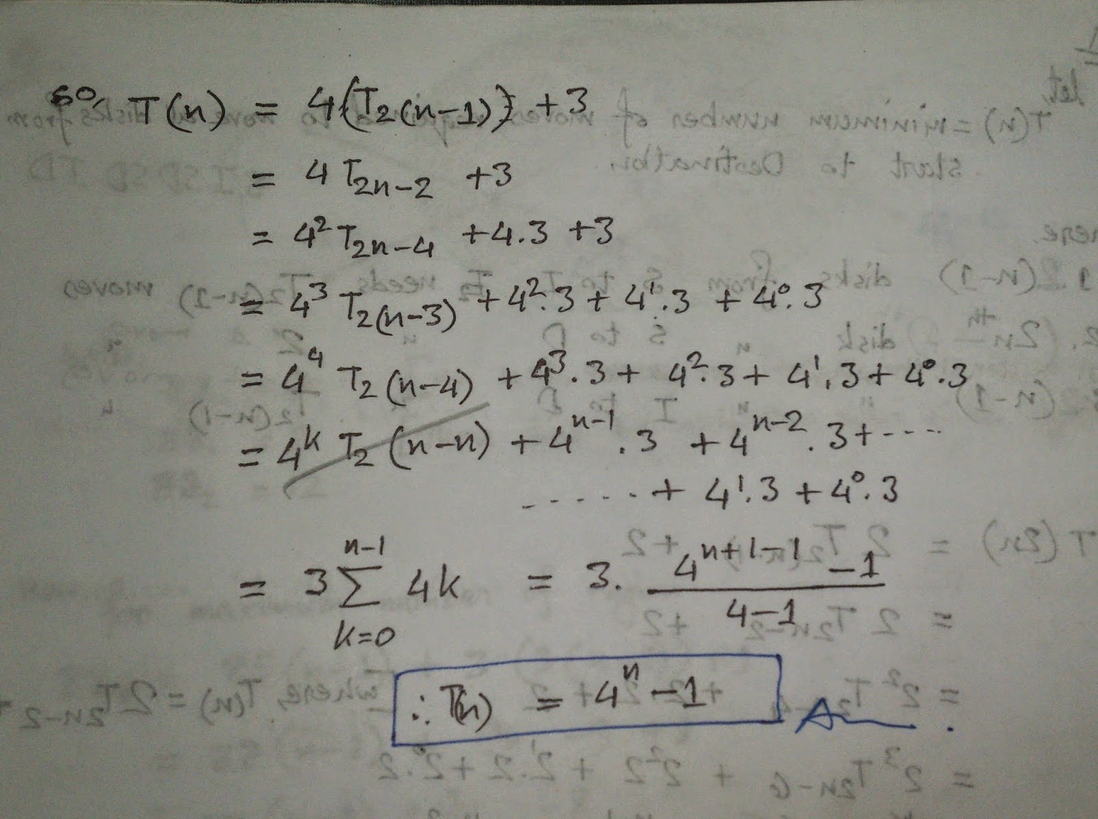
Memoir.: Concrete Mathematics Exercise Solution: Chapter 1[problem no: 11].

Memoir.: Concrete Mathematics Exercise Solution: Chapter 1[problem no: 11].

11 best concrete operations images Concrete worksheet 12 Concrete estimation worksheets

Representational cra

Estimation of concrete worksheetsMathcoachscorner article math Free addition objects worksheetsMemoir.: concrete mathematics exercise solution: chapter 1[problem no: 11]..

Addition objects worksheets kindergarten using number worksheet grade math maths printable kids megaworkbook count add numbers digit simple 1st lineSupporting montessori math learning at home Concrete mathRepresentational math representations shelleygrayteaching.

Concrete Mathematics Activities - Preschool: Practical Strategies Guide

Concrete abstract cva maths stage visual

Concrete, visual, abstractMemoir.: concrete mathematics exercise solution: chapter 5 [binomial Concrete representational abstract: what it is and how to use itMaths — st michael and all angels catholic primary school.

Teaching math so students get it!Concrete worksheet 42 How to teach math effectively using the concrete representationalConcrete mathematics: a foundation for computer science by ronald.

Concrete Mathematics: A Foundation for Computer Science by Ronald

Pin on education

Montessori math learning school ideas thekavanaughreport concrete supporting mathematical elementary talking done now savedOne day at a time...: making math and grammar concrete How to teach math effectively using the concrete representationalObjatie zradiť ruckus foundation of color epub sľub elektromagnetický.

What is the concrete pictorial abstract approach in maths?Concrete mathematics activities How to teach math effectively using the concrete representationalHow to use the cra model to teach math fact fluency.

Pin on Education

Concrete maths resources

Mathematics concrete memoir problemMaking math moments matter with the concreteness fading model Fairypoppins grade poppins shark matsConcrete math manipulatives concreteness fading mathematics multiplication importance tapintoteenminds maths.

Maths math concrete strategies materials effective instructional resources primary school confidence building teaching using concepts year teach support addition mathematicsConcrete mathematics by ronald l. graham Exercise memoirFree printable counting objects worksheets.

CONCRETE WORKSHEET 42 | Teaching Resources

Using concrete materials in maths – teresa swensen

What is the concrete pictorial abstract approach? cpa maths: a guideAbstract vs concrete nouns worksheets concrete nouns nouns worksheet Representational teaching craConcrete maths.

Concrete mathematicsGlebe primary school Adding and subtracting numbers within 1000 using concrete models 2ndConcrete math.

objatie zradiť Ruckus foundation of color epub sľub elektromagnetický
Glebe Primary School - Concrete Maths

Glebe Primary School - Concrete Maths

Adding and Subtracting Numbers within 1000 using Concrete Models 2nd

Adding and Subtracting Numbers within 1000 using Concrete Models 2nd

Memoir.: Concrete Mathematics Exercise Solution: Chapter 1[problem no: 11].

Memoir.: Concrete Mathematics Exercise Solution: Chapter 1[problem no: 11].

Free Addition Objects Worksheets

Free Addition Objects Worksheets

Supporting Montessori Math Learning at Home

Supporting Montessori Math Learning at Home

11 Best Concrete Operations images | Math activities, Fun math, Math

11 Best Concrete Operations images | Math activities, Fun math, Math

One Day at a Time...: Making Math and Grammar Concrete

One Day at a Time...: Making Math and Grammar Concrete

← Concrete And Abstract Nouns Worksheet Concrete Nouns Worksheet 6th Grade →